صرف مستحقات الإجازات لمعلمي الشرقية المحالين للمعاش حتى 2023.. ننشر الكشوف كاملة
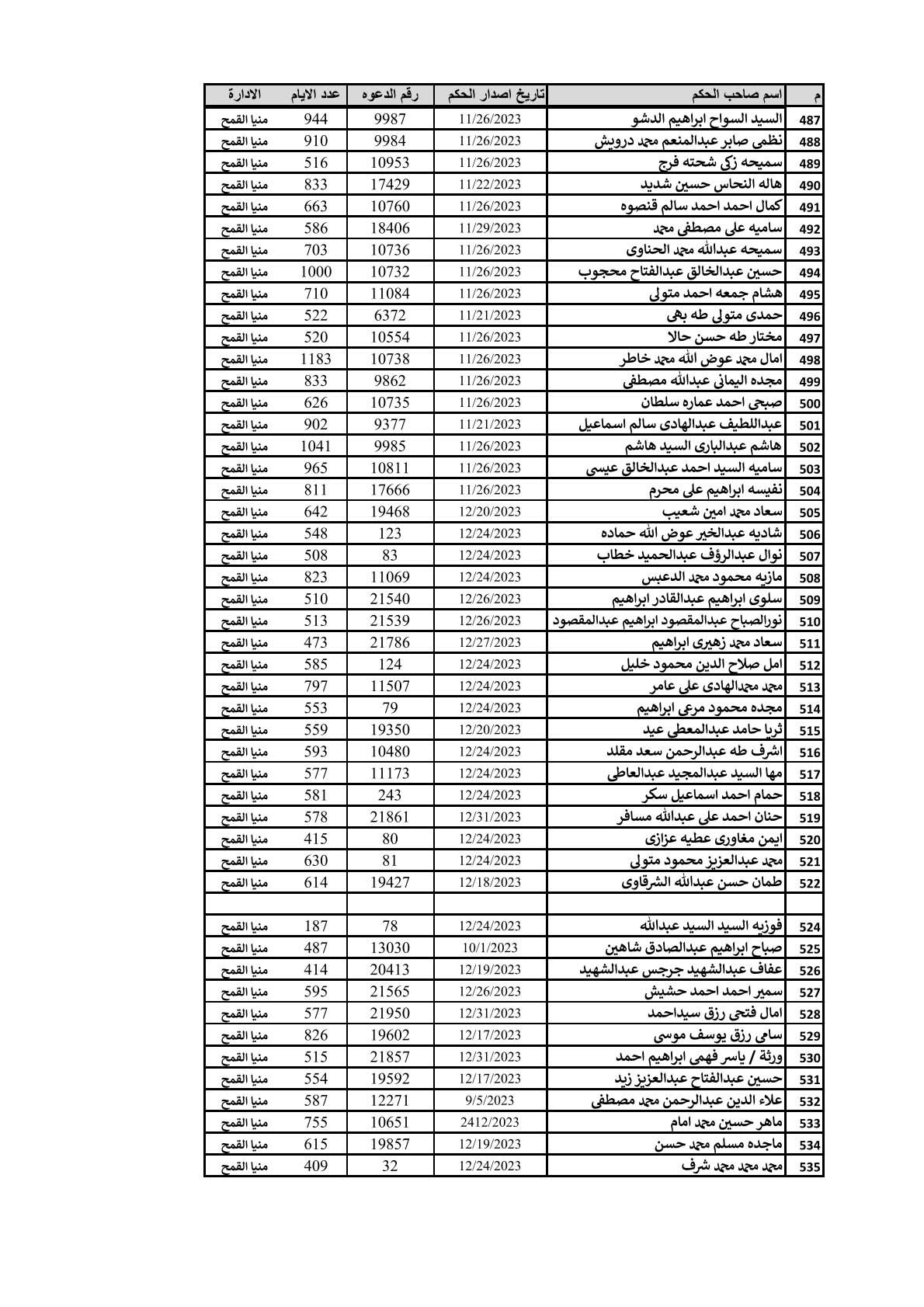
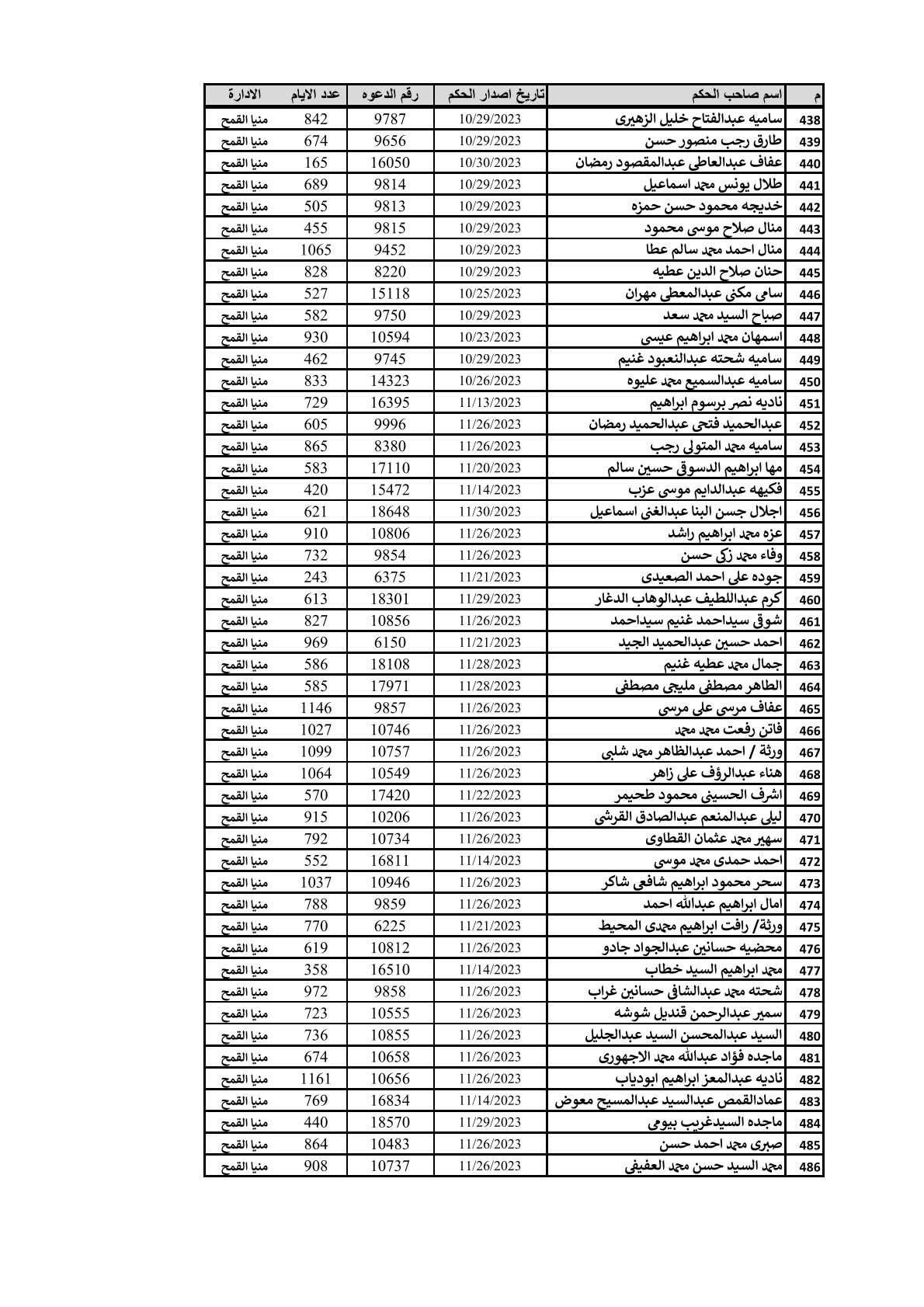
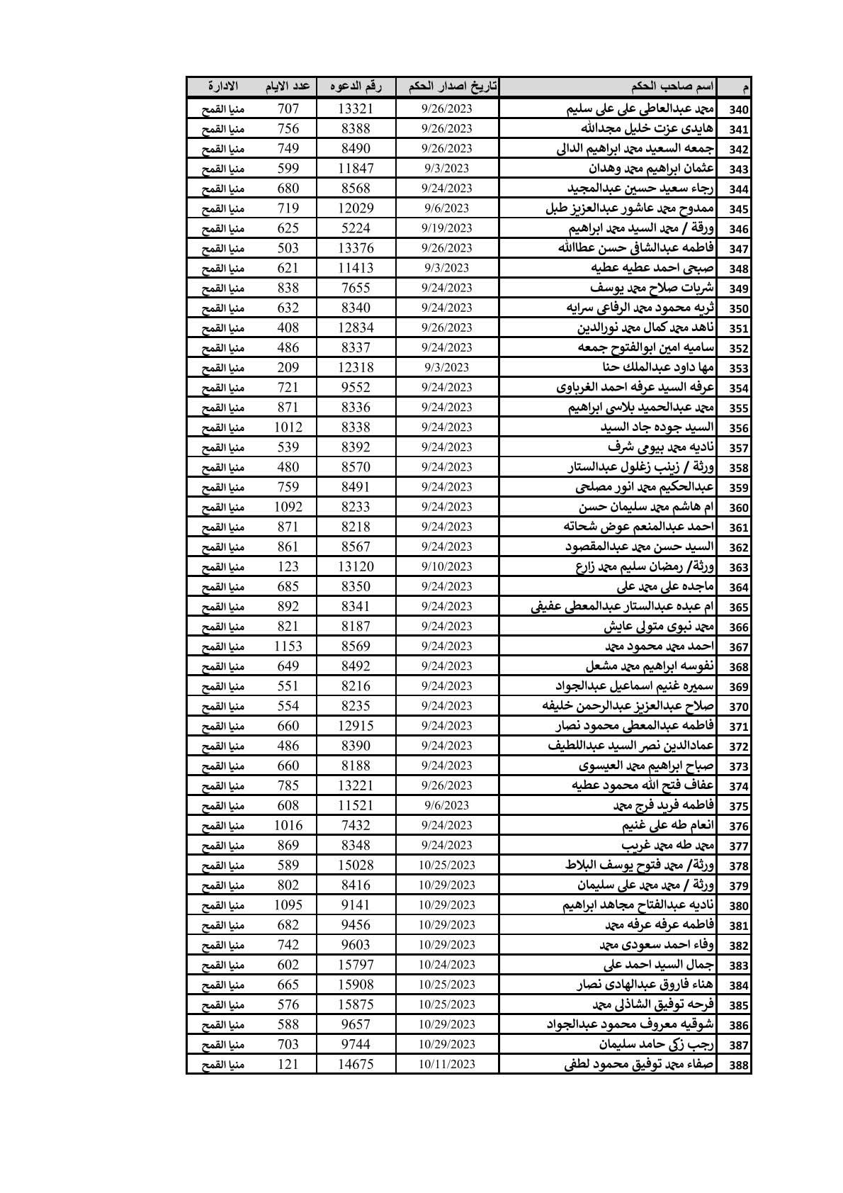
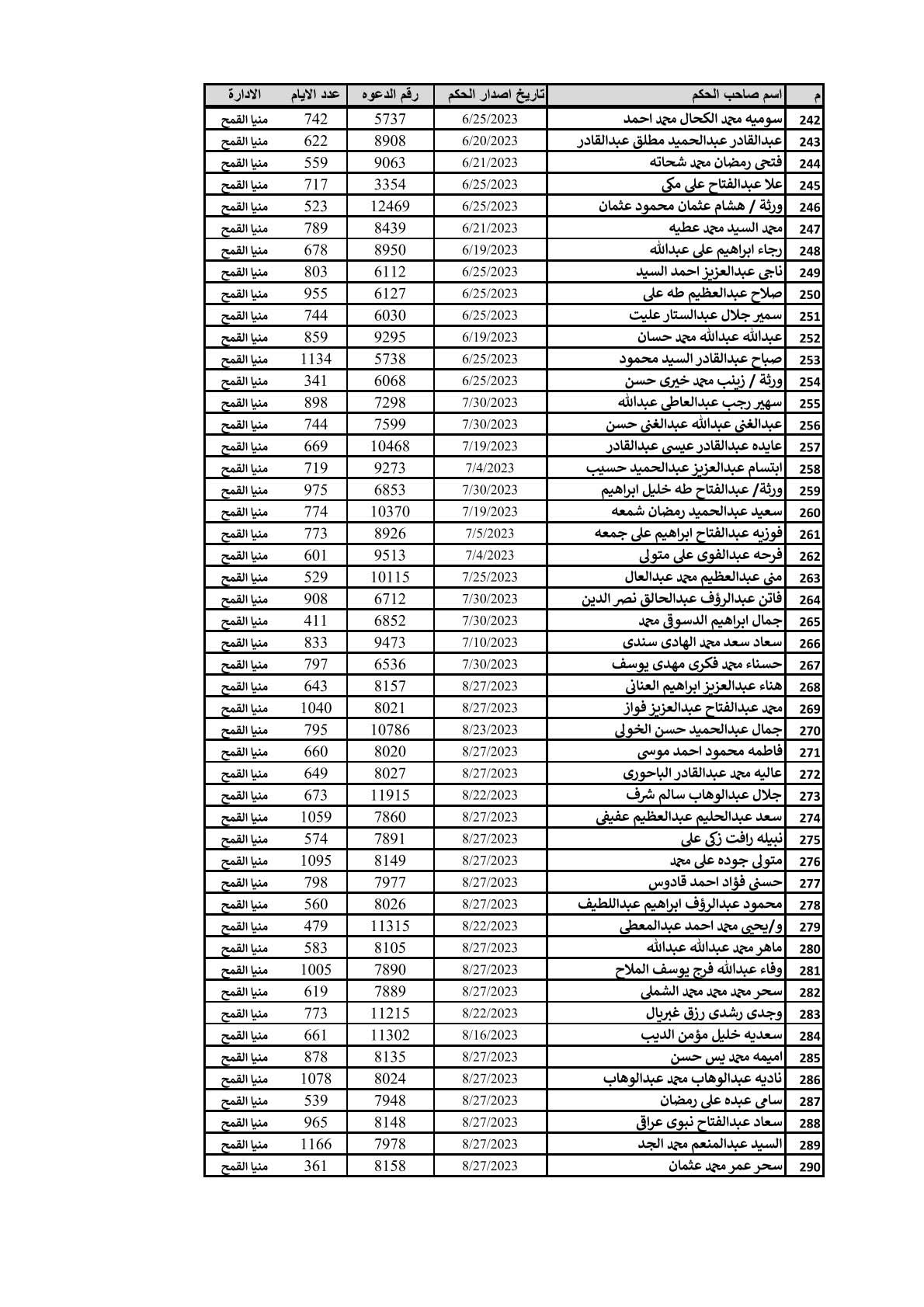
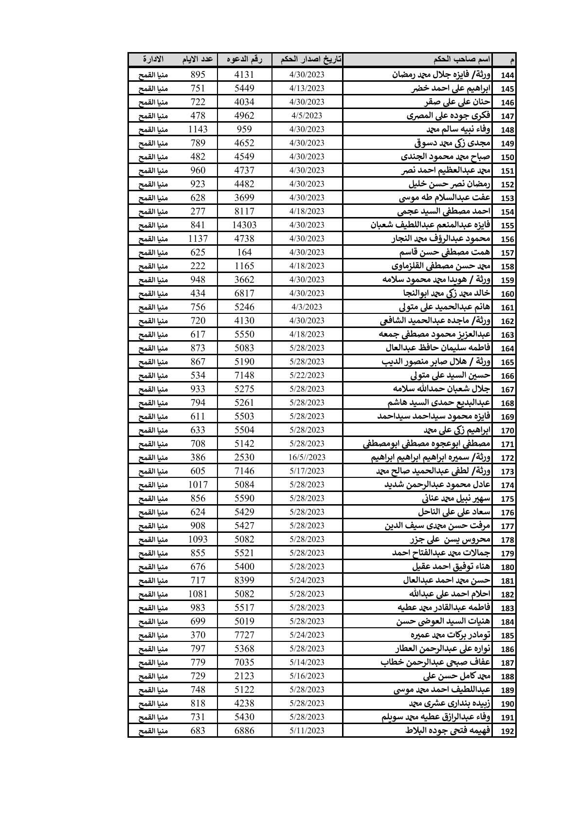
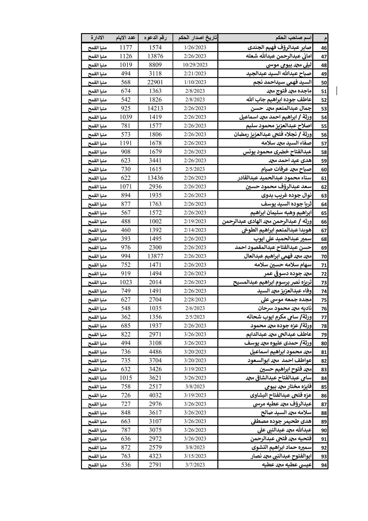
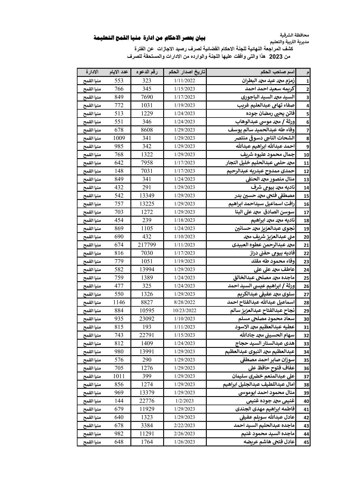
في بشرى سارة للعاملين بقطاع التعليم بمحافظة محافظة الشرقية، اعتمد محمد رمضان غريب، وكيل أول وزارة التربية والتعليم، كشوف استحقاق صرف المستحقات المالية لرصيد الإجازات للسادة الزملاء الذين أُحيلوا إلى المعاش، والصادر لهم أحكام قضائية وقرارات فض منازعات حتى عام 2023، وذلك على مستوى جميع الإدارات التعليمية بالمحافظة.
جاء ذلك بحضور كل من عبد الرحمن عبد اللطيف، وكيل المديرية، وأشرف عبد الهادي السيد، مدير عام الشئون المالية والإدارية، حيث تم اعتماد الكشوف الخاصة بالمستحقين تمهيدًا لبدء إجراءات الصرف.
وشملت الكشوف المعتمدة الإدارات التعليمية التالية: غرب الزقازيق، كفر صقر، الحسينية، مشتول السوق، منيا القمح، ههيا، وأبو حماد، مع توجيه المستحقين بالتوجه إلى الوحدات الحسابية بالإدارات التعليمية التابعين لها، لصرف مستحقاتهم المالية وفقًا للكشوف المعلنة، وذلك عقب إجازة عيد الفطر المبارك.
وأكدت مديرية التربية والتعليم بالشرقية أن هذه الخطوة تأتي في إطار الجهود المبذولة لتسوية المستحقات المالية للعاملين، حيث تم توفير التعزيزات المالية اللازمة من إدارة الموازنة بالمديرية لدعم الوحدات الحسابية، بما يضمن سرعة صرف المستحقات، تنفيذًا للكتاب الدوري رقم (3) الصادر عن الجهاز المركزي للتنظيم والإدارة.
وأشارت المديرية إلى أنه جارٍ حاليًا مراجعة كشوف إدارات العاشر من رمضان وبلبيس ومنشأة أبو عمر، على أن يتم إعلان الأسماء المستحقة تباعًا عبر موقع العلاقات العامة والإعلام فور الانتهاء من فحص كافة الأحكام.





































